Definitions
Route analysis
Allows users to define a specific route and generate average speed, average travel times, and sample size for their selected date and time range.
Area - Full analysis
Allows users to define an area and generate average speeds, average travel times, and sample sizes for every segment within their date and time range.
Area - Density analysis
Allows users to define an area and generate only the sample size, excluding all speed and travel time parameters.
The limits below are related to the full version of our products:

Limits for all Traffic Statistic Analyses
Report series
Scheduling a report series also allows for planning schedules in the future. In case the date range is in the future, a new report will start calculating in the queue each day, week, or month once our system has the data for these days.
There are three schedule types: daily, weekly & monthly. All the reports contained in one schedule share the same route/area and the same time sets.

Use a span forced to block-level display as a spacer
Full traversal
Allows users to count only trips that have traversed the full route.
Toggling on this option may reduce the sample size.
Date ranges
= several dates that include a particular start and finish date, including all dates in between.
All the trips in your analysis will be based on your selected date range.
We do not recommend including the last 3 days within your date range because it takes time to collect the most recent probe data in our data sources, so there might be a smaller sample size for those days.
Time-sets
= range of times including a particular start and finish time, including all hours in between. Time sets represent a more specific time definition than date ranges.
The time sets can be set for the hours of the day when the analysis results will be presented. The time sets are useful to create comparison sets, such as morning rush hours versus evening rush hours, or typical week values against weekend patterns.
All the trips in your analysis will be based on the time sets within your selected date range.
When selecting time sets in a report, the time will reflect the timezone of the area where the data is being extracted from (wherever your route or area is created, not where you are physically located).
Road network length
= the total length of all the segments in your route or within your area.
This value is used for pricing calculations. Segments with no data are not included in road network length calculations.
The number of date ranges multiplies the road network length.
For example, if a 20 km route is analyzed over 5 date ranges, your verified road network length will be 100km.

Use a span forced to block-level display as a spacer
When creating an Area-full or Area-density analysis, the road network length will be calculated by totaling the length of each FRC and then adding those lengths together.

Use a span forced to block-level display as a spacer
Sample size
The number of GPS devices observed on a specific road segment during the selected date range and time set. The number shown in the results is always the total number of GPS devices we observed - we don't do any scaling, estimations, or averages when it comes to this value.
When looking at your results in Excel, the sample size column will be labeled BS_HITS
A pass through a segment is counted as a pass regardless of how many times a single vehicle traverses it within the same time set. Therefore, if one car drives through X times, X passes will be reported for that vehicle.
Passenger VS Fleet
The Passenger category is mainly data derived from smartphones, PNDs, and specific car brands that manufacture passenger vehicles.
The Fleet category is related to some truck manufacturers, taxi/delivery services, and other sources categorized as a "fleet" company.
Important! Since the passenger category is also based on smartphone applications, some trucks may also be included in this group, as truck drivers might use their smartphones for navigation. While we are continuously enhancing our detection systems to minimize such occurrences, there remains a possibility that truck vehicles may be mislabeled as passenger data.
Pedestrian data is filtered out from both vehicle type categories.
Functional Road Class (FRC)
= a hierarchical design of the entire road network, ranging from highways (FRC 0) to local city roads (FRC 7).

Functional Road Class Chart
Segment
= a section of road that may vary in length, to which the GPS trips are map-matched. It can also be referred to as an edge or a road element. Segments are of various lengths and are created internally by TomTom Traffic Stats at every location where a road attribute changes. Examples of road attributes changing are as follows:
- updated map version
- speed limits changing
- street names changing
- city borders being crossed
- house number format changing
Hence segments have no fixed length.
Median
= a numeric value separating the higher half of a sample, a population, or a probability distribution, from the lower half. The median of a finite list of numbers can be found by arranging all the observations from the lowest value to the highest value and picking the middle one. If there is an even number of observations, then there is no single middle value; the median is then usually defined to be the average, or mean, of the two middle values.
Percentile
= the value of a variable above which a certain percentage of observations fall. For example, the 20th percentile travel time is the value above which 20 percent of all the observations may be found. For example, a percentile of 50 is the median travel time for a route and a percentile of 90 means that that particular travel time has been achieved by at least 90% of all the GPS devices on the route.
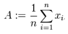
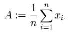
Arithmetic average, or Arithmetic mean
= a mathematical representation of the typical value of a series of numbers computed as the sum of all the numbers in the series divided by the count of all numbers in the series.
Suppose we have sample space {x1, ..., xn}. If n numbers are given, each number denoted by xi, where i = 1, ..., n, the arithmetic mean A is the [sum] of the xi's divided by n or defined via the equation:

Use a span forced to block-level display as a spacer
Harmonic average, or Harmonic mean
The harmonic mean is appropriate for situations when the average of rates is needed. The harmonic mean H of the positive real numbers x1, x2, ..., xn > 0 is defined as follows:

Use a span forced to block-level display as a spacer
Standard deviation
Standard deviation is a widely used measure of variability or dispersion. It shows how much variation there is from the "average". A low standard deviation indicates that the data points tend to be very close to the average or mean, whereas a high standard deviation indicates that the data is spread out over a large range of values.
A slightly different explanation uses a normal distribution or bell-shaped curve. When the data samples are tightly bunched together and the bell-shaped curve is steep, the standard deviation is small. When the samples are spread apart and the bell curve is relatively flat, that tells you that you have a relatively large standard deviation.
